SOLUTION: Solve:[k-2]=4
Algebra
->
Absolute-value
-> SOLUTION: Solve:[k-2]=4
Log On
Algebra: Absolute value
Section
Solvers
Solvers
Lessons
Lessons
Answers archive
Answers
Click here to see ALL problems on absolute-value
Question 179926
This question is from textbook
:
Solve:[k-2]=4
This question is from textbook
Answer by
Mathtut(3670)
(
Show Source
):
You can
put this solution on YOUR website!
:
k-2=4 and -(k-2)=4
:
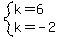
k=6 and -k=2
:
k=6 and k=-2
: