SOLUTION: If 5x + x² > 100, then x is not

Algebra ->  Absolute-value -> SOLUTION: If 5x + x² > 100, then x is not      Log On


   



Question 1131860: If 5x + x² > 100, then x is not
Found 2 solutions by MathLover1, ikleyn:
Answer by MathLover1(20850) About Me  (Show Source):
You can put this solution on YOUR website!

If
5x+%2B+x%5E2+%3E+100
5x+%2B+x%5E2+-100%3E+0
+x%5E2+%2B5x-100%3E+0
find zeros:
x+=+%28-b+%2B-+sqrt%28+b%5E2-4%2Aa%2Ac+%29%29%2F%282%2Aa%29+
x+=+%28-5+%2B-+sqrt%28+5%5E2-4%2A1%2A%28-100%29+%29%29%2F%282%2A1%29+
x+=+%28-5+%2B-+sqrt%28+25%2B400%29+%29%29%2F2+
x+=+%28-5+%2B-+sqrt%28+425%29+%29%29%2F2+
x+=+%28-5+%2B-+sqrt%28+17%2A25%29+%29%29%2F2+
x+=+%28-5+%2B-+5sqrt%28+17%29+%29%29%2F2+
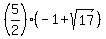
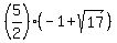
x+=+%285%2F2%29%28-1+%2B-+sqrt%28+17%29+%29+
solutions:
x+=+%285%2F2%29%28-1+%2B+sqrt%28+17%29+%29+
or
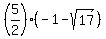
x+=+%285%2F2%29%28-1+-+sqrt%28+17%29+%29+

then x is not equal to +%285%2F2%29%28-1+%2B+sqrt%28+17%29+%29+ or +%285%2F2%29%28-1+-+sqrt%28+17%29+%29+


Answer by ikleyn(52832) About Me  (Show Source):
You can put this solution on YOUR website!
.
The correct answer is

    Then  x  is not in the segment  [+%285%2F2%29%28-1+-+sqrt%28+17%29+%29+,+%285%2F2%29%28-1+%2B+sqrt%28+17%29%29].