SOLUTION: Solve equation 2log x + log (6 - x^2)= 0

Algebra ->  Absolute-value -> SOLUTION: Solve equation 2log x + log (6 - x^2)= 0      Log On


   



Question 1102396: Solve equation
2log x + log (6 - x^2)= 0

Found 2 solutions by josmiceli, Edwin McCravy:
Answer by josmiceli(19441) About Me  (Show Source):
You can put this solution on YOUR website!
+2%2Alog%28+x+%29+=+-log%28+6+-+x%5E2+%29+
+log%28+x%5E2+%29+=+log%28+%28+6+-+x%5E2+%29%5E%28-1%29+%29+
+x%5E2+=+1%2F%28+6+-+x%5E2+%29+
+6x%5E2+-+x%5E4+=+1+
---------------------------
Let +x%5E2+=+z+
+z%5E2+-+6z+%2B+1+=+0+
Use quadratic formula
+z+=+%28+-b+%2B-sqrt%28+b%5E2+-+4%2Aa%2Ac+%29%29%2F%282a%29+
+a+=+1+
+b+=+-6+
+c+=+1+
+z+=+%28+6+%2B-sqrt%28+36+-+4+%29+%29+%2F+2+
+z+=+%28+6+%2B+sqrt%28+32+%29+%29+%2F+2+
+z+=+%28+6+%2B+4%2Asqrt%282%29+%29+%2F+2+
+z+=++3+%2B+2%2Asqrt%282%29++
and
+z+=+3+-+2%2Asqrt%282%29+
----------------------------
+z+=+x%5E2+
+x+=+sqrt%28z%29+
----------------------------
+x+=+sqrt%28+3+%2B+2%2Asqrt%282%29+%29+
+x+=+-sqrt%28+3+%2B+2%2Asqrt%282%29+%29+
+x+=+sqrt%28+3+-+2%2Asqrt%282%29+%29+
+x+=+-sqrt%28+3+-+2%2Asqrt%282%29+%29+
----------------------------
Get a 2nd opinion if needed

Answer by Edwin McCravy(20081) About Me  (Show Source):
You can put this solution on YOUR website!
Tutor Josmiceli gave these four answers:

+x+=+sqrt%28+3+%2B+2%2Asqrt%282%29+%29+
+x+=+-sqrt%28+3+%2B+2%2Asqrt%282%29+%29+
+x+=+sqrt%28+3+-+2%2Asqrt%282%29+%29+
+x+=+-sqrt%28+3+-+2%2Asqrt%282%29+%29+

His work was correct up to that point.  But he didn't finish.

1. He didn't rule out the two extraneous answers.
2. He didn't simplify the two answers which are solutions.

His second and fourth answers are negative which are not in
the domain of the log function.  So the only solutions are

+x+%22%22=%22%22+sqrt%28+3+%2B+2%2Asqrt%282%29+%29+
+x%22%22=%22%22sqrt%28+3+-+2%2Asqrt%282%29+%29+

or +x%22%22=%22%22sqrt%283+%2B-+2%2Asqrt%282%29+%29+

However they are not in simplest radical form, as they
contain a square root inside a square root.

We set  

sqrt%283+%2B-+2%2Asqrt%282%29+%29%22%22=%22%22u+%2B-+sqrt%28v%29 
where u and v are rational.

Square both sides:

3+%2B-+2%2Asqrt%282%29%22%22=%22%22u%5E2+%2B-+2u%2Asqrt%28v%29+%2B+v

We equate the terms without square roots and
equate terms with square roots, and we have this
system:

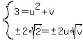
system%283=u%5E2%2Bv%2C%22%22+%2B-+2%2Asqrt%282%29=%22%22+%2B-+2u%2Asqrt%28v%29%29

Divide the second equation through by %22%22+%2B-+2

sqrt%282%29%22%22=%22%22u%2Asqrt%28v%29

Squaring both sides:

2%22%22=%22%22u%5E2v

2%2Fu%5E2%22%22=%22%22v

Substituting in

3%22%22=%22%22u%5E2%2Bv

3%22%22=%22%22u%5E2%2B2%2Fu%5E2

Multiply through by u2

3u%5E2%22%22=%22%22u%5E4%2B2

0%22%22=%22%22u%5E4-3u%5E2%2B2

0%22%22=%22%22%28u%5E2-1%29%28u%5E2-2%29

u%5E2-1=0;  u%5E2-2=0
u%5E2=1;  u%5E2=2
u=%22%22+%2B-+1;   u=%22%22+%2B-+sqrt%282%29

Since we assumed u and v are rational, we discard
the second answers for u.

Therefore:

sqrt%283+%2B-+2%2Asqrt%282%29+%29%22%22=%22%22u+%2B-+sqrt%28v%29%22%22=%22%22%22%22+%2B-+1+%2B-+sqrt%282%29

However we must discard the negative values 1-sqrt%282%29 and
-1-sqrt%282%29 as extraneous.

So the only two solutions in simplified form are

%22%22+%2B-+1+%2B+sqrt%282%29

Edwin