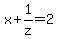
SOLUTION: Absolute value solution. [×+1/z]=2

Algebra ->  Absolute-value -> SOLUTION: Absolute value solution. [×+1/z]=2      Log On


   



Question 1049097: Absolute value solution. [×+1/z]=2
Answer by josmiceli(19441) About Me  (Show Source):
You can put this solution on YOUR website!
Both must be true:
(1) +-%28+x+%2B+1%2Fz+%29+=+2+
(2) +x+%2B+1%2Fz+=+2+
------------------------
add (1) and (2)
(1) +x+%2B+1%2Fz+=+-2+
(2) +x+%2B+1%2Fz+=+2+
---------------------
(1) +1%2Fz+=+-x+-+2+
(2) +1%2Fz+=+-x+%2B+2+
---------------------
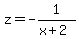
(1) +z+=+-1%2F%28+x+%2B+2+%29+
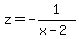
(2) +z+=+-1%2F%28+x+-+2+%29+
----------------------
Here are plots of these relations:

----------------------
check:
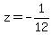
suppose +x+=+10+
+x+%2B+2+=+12+
+z+=+-1%2F12+
and
+abs%28+x+%2B+1%2Fz+%29+=+2+
+abs%28+10+%2B+%28-12%29+%29+=+2+
+abs%28+-2+%29+=+2+
OK
+x+-+2+=+8+
+z+=+-1%2F8+
and
+abs%28+x+%2B+1%2Fz+%29+=+2%0D%0A%7B%7B%7B+abs%28+10+-+8+%29+=+2+
+abs%282%29+=+2+
OK