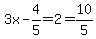
SOLUTION: 3x-4/5+6=8
Algebra
->
Absolute-value
-> SOLUTION: 3x-4/5+6=8
Log On
Algebra: Absolute value
Section
Solvers
Solvers
Lessons
Lessons
Answers archive
Answers
Click here to see ALL problems on absolute-value
Question 1021632
:
3x-4/5+6=8
Answer by
Alan3354(69443)
(
Show Source
):
You can
put this solution on YOUR website!
3x = 14/5
x = 14/15