SOLUTION: Two cylindrical containers are shown. Container A has a radius r and a height of h and holds a maximum of 100 ounces of water. Container B has a radius of 4r and a height of 1/2 h

Algebra ->  Volume -> SOLUTION: Two cylindrical containers are shown. Container A has a radius r and a height of h and holds a maximum of 100 ounces of water. Container B has a radius of 4r and a height of 1/2 h      Log On


   



Question 967957: Two cylindrical containers are shown. Container A has a radius r and a height of h and holds a maximum of 100 ounces of water. Container B has a radius of 4r and a height of 1/2 h .



What is the maximum amount of water that Container B can hold?
Please help me. Thanks!!!

Answer by macston(5194) About Me  (Show Source):
You can put this solution on YOUR website!
Container A:
Volume=%28pi%29r%5E2h=100oz
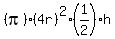
Container B:
Volume=%28pi%29%284r%29%5E2%281%2F2%29h=%28pi%2916r%5E2%281%2F2%29h=8%28pi%29r%5E2h
.
The volume of Container B is 8 times the volume of Container A,
so Container B can hold 8*(100oz)=800 ounces
ANSWER: Container B can hold 800 ounces.