SOLUTION: find the lenght of the longest pole that can be put in a room of dimension 10*10*5m?
Algebra
->
Volume
-> SOLUTION: find the lenght of the longest pole that can be put in a room of dimension 10*10*5m?
Log On
Geometry: Volume, Metric volume
Geometry
Solvers
Solvers
Lessons
Lessons
Answers archive
Answers
Click here to see ALL problems on Volume
Question 947669
:
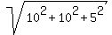
find the lenght of the longest pole that can be put in a room of dimension 10*10*5m?
Answer by
Alan3354(69443)
(
Show Source
):
You can
put this solution on YOUR website!
find the lenght of the longest pole that can be put in a room of dimension 10*10*5m?
-------------------
=