SOLUTION: Please help me,,if the radius and height a cylinder is doubled,what become ofthe surface area?

Algebra ->  Volume -> SOLUTION: Please help me,,if the radius and height a cylinder is doubled,what become ofthe surface area?       Log On


   



Question 923731: Please help me,,if the radius and height a cylinder is doubled,what become ofthe surface area?

Answer by MathLover1(20850) About Me  (Show Source):
You can put this solution on YOUR website!
Surface Area of a Cylinder:
S%5Ba%5D+=+2pi%2Ar%5E2+%2B+2pi%2Ar%2Ah
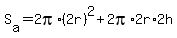
if the radius and height a cylinder is doubled
S%5Ba%5D+=+2pi%2A%282r%29%5E2+%2B+2pi%2A2r%2A2h
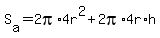
S%5Ba%5D+=+2pi%2A4r%5E2+%2B+2pi%2A4r%2Ah
S%5Ba%5D+=+4%282pi%2Ar%5E2+%2B+2pi%2Ar%2Ah%29 ------quadrupled
surface area S' = 4S%5Ba%5D, so it increases by 4 times its original