SOLUTION: What are 6 possible whole number dimensions of rectangular prisms with a volume of 48 cubic centimeters?

Algebra ->  Volume -> SOLUTION: What are 6 possible whole number dimensions of rectangular prisms with a volume of 48 cubic centimeters?      Log On


   



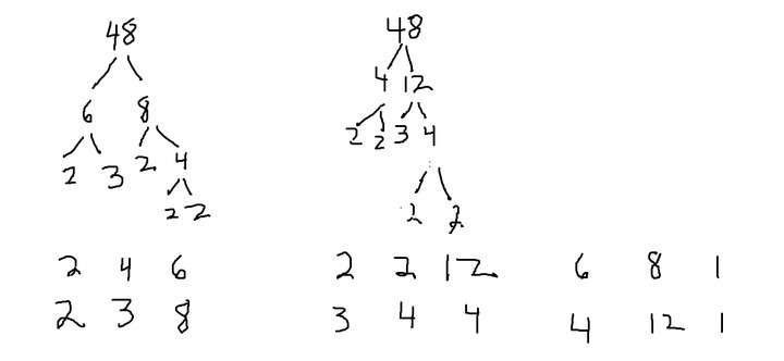
Question 874080: What are 6 possible whole number dimensions of rectangular prisms with a volume of 48 cubic centimeters?
Answer by fcabanski(1391) About Me  (Show Source):