SOLUTION: find the volume bounded by the x-axis, y=x^2+1, and x=-1,x=1 revolved about the x-axis.

Algebra ->  Volume -> SOLUTION: find the volume bounded by the x-axis, y=x^2+1, and x=-1,x=1 revolved about the x-axis.       Log On


   



Question 594147: find the volume bounded by the x-axis, y=x^2+1, and x=-1,x=1 revolved about the x-axis.

Answer by Edwin McCravy(20060) About Me  (Show Source):
You can put this solution on YOUR website!
find the volume bounded by the x-axis, y=x^2+1, and x=-1,x=1 revolved about the x-axis.
Here is the area to be revolved.  When revolved about the x-axis 
a pulley will be created with no hole for an axle.



The vertical elements all have one end on the same graph (the x-axis)
and the other end on the same graph (the parabola).  We could not say the
same if we used horizontal elements.  

We can do it this way:

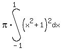
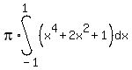
Volume = pi%2Aint%28%28radius%5E2%2Athickness%29%2C%22%22%2Clower%2Cupper%29+ = pi%2Aint%28y%5E2%2Cdx%2C-1%2C1%29+ = pi%2Aint%28%28x%5E2%2B1%29%5E2%2Cdx%2C-1%2C1%29+ = pi%2Aint%28%28x%5E4%2B2x%5E2%2B1%29%2Cdx%2C-1%2C1%29+ =

But because of symmetry w/r the y-axis we can just find the volume 
of the right side of the pulley and double it, and take the lower limit 
as 0 instead of -1.

2pi%2Aint%28%28x%5E4%2B2x%5E2%2B1%29%2Cdx%2C0%2C1%29+ =

2pi%2A%28int%28x%5E4%2Cdx%29%2B2int%28x%5E2%2Cdx%29%2Bint%281%2Cdx%29%29matrix%283%2C2%2C%22%7C%22%2C1%2C%22%7C%22%2C%22%22%2C%22%7C%22%2C0%29 =

2pi%2A%28x%5E5%2F5+%2B2x%5E3%2F3+%2B+x%29matrix%283%2C2%2C%22%7C%22%2C1%2C%22%7C%22%2C%22%22%2C%22%7C%22%2C0%29 =

2pi%2A%281%5E5%2F5+%2B2%2A1%5E3%2F3+%2B+1%29 - 2pi%2A%280%5E5%2F5+%2B2%2A0%5E3%2F3+%2B+0%29 =

2pi%2A%281%2F5+%2B2%2F3+%2B+1%29

2pi%2A%283%2F15+%2B10%2F15+%2B+15%2F15%29 =

2pi%2A%2828%2F15%29 =

expr%2856%2F15%29pi

Edwin