SOLUTION: how many cubic ft of sand can be pumped into a tube 100 ft in length and a circumfrence of 30 ft

Algebra ->  Volume -> SOLUTION: how many cubic ft of sand can be pumped into a tube 100 ft in length and a circumfrence of 30 ft      Log On


   



Question 549743: how many cubic ft of sand can be pumped into a tube 100 ft in length and a circumfrence of 30 ft
Answer by Alan3354(69443) About Me  (Show Source):
You can put this solution on YOUR website!
how many cubic ft of sand can be pumped into a tube 100 ft in length and a circumfrence of 30 ft
------------
Find the radius
--
C = 2*pi*r = 30
r = 30/2pi = 15/pi ft
-------
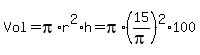
For the cylinder:
Vol+=+pi%2Ar%5E2%2Ah+=+pi%2A%2815%2Fpi%29%5E2%2A100
Vol+=+225%2A100%2Api
Vol =~ 70686 cu ft