SOLUTION: On her early morning walk, Jinhee noticed that when she walked under a streetlight, her shadow would get longer the farther she was away from the light. She decided to use her shad

Algebra ->  Volume -> SOLUTION: On her early morning walk, Jinhee noticed that when she walked under a streetlight, her shadow would get longer the farther she was away from the light. She decided to use her shad      Log On


   



Question 301653: On her early morning walk, Jinhee noticed that when she walked under a streetlight, her shadow would get longer the farther she was away from the light. She decided to use her shadow to find out how tall the light was. When she was 21 feet from the base of the light, her shadow was 7 feet long. She is 5 feet 6 inches
Found 2 solutions by richwmiller, josmiceli:
Answer by richwmiller(17219) About Me  (Show Source):
Answer by josmiceli(19441) About Me  (Show Source):
You can put this solution on YOUR website!
There are 2 similar right triangles:
One is formed by her and her shadow
The other is formed by the streetlight
and (distance to her + her shadow)
I can write a ratio of the sides
of these similar triangles:
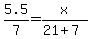
Let x = the height of the streetlight
5.5%2F7+=+x%2F%2821+%2B+7%29
5.5%2F7+=+x%2F28
multiply both sides by 28
4%2A5.5+=+x
x+=+22
The streetlight is 22 ft high