SOLUTION: Suppose you wish to reduce the volume of a sphere by a factor of 7.00. If it's original radius was R, what is the reduced radius in terms of R? By what factor does the sphere's sur

Algebra ->  Volume -> SOLUTION: Suppose you wish to reduce the volume of a sphere by a factor of 7.00. If it's original radius was R, what is the reduced radius in terms of R? By what factor does the sphere's sur      Log On


   



Question 262877: Suppose you wish to reduce the volume of a sphere by a factor of 7.00. If it's original radius was R, what is the reduced radius in terms of R? By what factor does the sphere's surface area change?
I have no idea how to even approach this. I'm assuming that the answers to both the questions will have 7's in them.

Answer by josmiceli(19441) About Me  (Show Source):
You can put this solution on YOUR website!
The formula for the volume of a sphere is
(1)V+=+%284%2F3%29%2Api%2AR%5E3
Making the sphere seven times smaller means
multiplying V by 1%2F7
Let R%5B2%5D = the new radius when V
is 1%2F7 of what it used to be
(2) %281%2F7%29%2AV+=+%284%2F3%29%2Api%2A%28R%5B2%5D%29%5E3
Now I need to find R%5B2%5D in terms of R
Multiply both sides of (1) by 21
(2) 3V+=+28%2Api%2A%28R%5B2%5D%29%5E3
(2) %28R%5B2%5D%29%5E3+=+%283V%29%2F%2828%2Api%29
Now I need to substitute V in (1) for V in (2)
(2) %28R%5B2%5D%29%5E3+=+%283%2A%284%2F3%29%2Api%2AR%5E3%29%2F%2828%2Api%29
(2) %28R%5B2%5D%29%5E3+=+%281%2F7%29%2AR%5E3
Now take the cube root of both sides
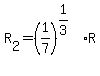
(2) R%5B2%5D+=+%281%2F7%29%5E%281%2F3%29%2AR
R%5B2%5D is the reduced radius in terms of R
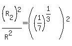
The surface areas are proportional to R%5E2 and %28R%5B2%5D%29%5E2
Because A+=+4%2Api%2AR%5E2
so I can rewrite (2) as
(2) R%5B2%5D+=+%281%2F7%29%5E%281%2F3%29%2AR
(2) %28R%5B2%5D%29%2FR+=+%281%2F7%29%5E%281%2F3%29
Now square both sides
%28R%5B2%5D%29%5E2%2F%28R%5E2%29+=+%28%281%2F7%29%5E%281%2F3%29%29%5E2
%28R%5B2%5D%29%5E2%2F%28R%5E2%29+=+%281%2F7%29%5E%282%2F3%29
This is the factor that the surface area changes by