SOLUTION: Two similar bottles of 'Sunshine Cola' have lengths that are 12cm and 15cm. a) The volume of the large bottle is 1.5 litres. Calculate the volume of the smaller bottle. b) The a

Algebra ->  Volume -> SOLUTION: Two similar bottles of 'Sunshine Cola' have lengths that are 12cm and 15cm. a) The volume of the large bottle is 1.5 litres. Calculate the volume of the smaller bottle. b) The a      Log On


   



Question 148492: Two similar bottles of 'Sunshine Cola' have lengths that are 12cm and 15cm.
a) The volume of the large bottle is 1.5 litres. Calculate the volume of the smaller bottle.
b) The area of the label on the small bottle is 12cm squared. Calculate the area on the label of the large bottle.

Answer by jojo14344(1513) About Me  (Show Source):
You can put this solution on YOUR website!
Well it is a cola in a bottle so we need to find the %22radius%22 (very important) that we'll used in the calculations. Next, we'll assume it's a cola in can with cylindrical shape because ther'es no formula for finding area & volume for "curvature" bottle (2 curves? 3 curves?, we don't know)
1)For the Volume=pi%2Ar%5E2h where the height will be the lengths given.
Let's follow the following designation,
V%5B1%5D=pi%28r%5B1%5D%29%5E2%28h%5B1%5D%29 -------------- smaller size
V%5B2%5D=pi%28r%5B2%5D%29%5E2%28h%5B2%5D%29 -------------- bigger size
Since V%5B2%5D is given, we'll solve this first,
15liters=pi%28r%5B2%5D%29%5E2+%2815+centimeters%29
We have to remember, 1Liter=1000+cm%5E3
%28r%5B2%5D%29%5E2=+%281500cm%5E3%29%2F%28pi%2A15cm%29 r%5B2%5D=sqrt%2832%29
r%5B2%5D=+6+cm -----------> if you want exact =5.6 cm
And remember r%5B1%5D=r%5B2%5D because they're similar right as stated.
So for V%5B1%5D=pi%2856%29%5E2%2812cm%29 V%5B1%5D=1182+cm%5E3= 1.18 Liters ---> smaller
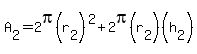
2) for the Area of the bigger cola, we need to get the Area+of+the+ends%2B+Area+of+the+cylindrical+side= A%5B2%5D=2pi%28r%5B2%5D%29%5E2+%2B+2pi%28r%5B2%5D%29%28h%5B2%5D%29
A%5B2%5D=2pi%2856%29%5E2+%2B+2pi%2856%29%2815%29=197%2B528
A%5B2%5D=725+cm%5E2 ------------> bigger
Thank you,
Jojo