SOLUTION: Help me for ths question please. a. The region bounded by the circle x2+y2=a2 is the base of a solid. Cross sections taken perpendicular to the base and parallel to the y-axis a

Algebra ->  Volume -> SOLUTION: Help me for ths question please. a. The region bounded by the circle x2+y2=a2 is the base of a solid. Cross sections taken perpendicular to the base and parallel to the y-axis a      Log On


   



Question 1210593: Help me for ths question please.
a. The region bounded by the circle x2+y2=a2 is the base of a solid. Cross sections taken perpendicular to the base and parallel to the y-axis are equilateral triangles.
Find the volume of the solid.
b. A cylindrical hole of constant radius r and height h is bored through the centre of a sphere with radius R.
Find the volume of the solid in terms of h.
c. The region bounded by the curve y=−x2+4x−3 and the x-axis is rotated about the line x=3 to form a solid.
Find the volume of the solid.

Found 3 solutions by KMST, ikleyn, n2:
Answer by KMST(5377) About Me  (Show Source):
You can put this solution on YOUR website!
Reading phrase by phrase and understanding:
"The region bounded by the circle x%5E2%2By%5E2=a%5E2 is the base of a solid."
The base of the solid is a circle on the x-y plane, with center at the origin, radius a , and diameter 2a .
So, far we know that the area of that base is pi%2Aa%5E2 .
"Cross sections taken perpendicular to the base and parallel to the y-axis are equilateral triangles."
The y-axis is the line x=0 , and the cross sections mentioned are obtained cutting through the solid through planes x=b with values of b in (-a,a) .
Those cross sections have a base on the x-y plane, and they are equilateral triangles.
The largest such equilateral triangle has a base of length 2a ,
extending between the points (0,-a), and (0,a), and a height of %28sqrt%283%29%2F2%29%2A%282a%29=a%2Asqrt%283%29 ,
with a vertex at the point with coordinates x=y=0 and z=a%2Asqrt%283%29 , which is the apex of the solid.
Intuitively, we know the solid is a cone.
Hopefully we do not need to prove that through a lot of boring algebra and geometry work.
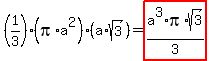
The volume of that cone with base area pi%2Aa%5E2 and height a%2Asqrt%283%29 is %281%2F3%29%28pi%2Aa%5E2%29%28a%2Asqrt%283%29%29=highlight%28a%5E3%2Api%2Asqrt%283%29%2F3%29

Answer by ikleyn(53878) About Me  (Show Source):
You can put this solution on YOUR website!
.
Help me for ths question please.
a. The region bounded by the circle x2+y2=a2 is the base of a solid. Cross sections taken perpendicular to the base and parallel to the y-axis are equilateral triangles.
Find the volume of the solid.
b. A cylindrical hole of constant radius r and height h is bored through the centre of a sphere with radius R.
Find the volume of the solid in terms of h.
c. The region bounded by the curve y=−x2+4x−3 and the x-axis is rotated about the line x=3 to form a solid.
~~~~~~~~~~~~~~~~~~~~~~~~~~~~~~~~~~~~~~~


        To me, tutor @KMST is the most desirable and most professional tutor at this forum.
        Her suggestions are deep and gently, her tone is always perfect and adequate, her solutions
        are very instructive. To me, it is always a fiesta to see her appearance at this forum.

        But her solution and her suggestion to this concrete problem are not accurate.
        The form of the solid in this problem is not a cone.

        Vertical section of a cone in (x,y,z)-space with the base as a circle in the (x,y)-plane
        by the plane y=b, parallel to z-axis, is not a triangle form - it is a HYPERBOLA.

        So, the solution by @KMST should be revised.

        To solve this problem, we should take the integral of the area of equilateral triangles in
        vertical sections and simply integrate this expression for the equilateral triangle areas
        from the y=0 section to the y=a section.


So, we consider the section of the solid y=b by the plane perpendicular to the base z=0
and parallel to z-axis.


This plane makes a chord in the circle  x^2+y^2 = a^2  at the base.

The length of this chord is  2%2Asqrt%28a%5E2-b%5E2%29.   (1)

This chord is the side of the equilateral triangle - so the area of this triangle is

    area(b) = %28sqrt%283%29%2F4%29%2Ac%5E2 = %28sqrt%283%29%2F4%29%2A4%2A%28a%5E2-b%5E2%29 = sqrt%283%29%2A%28a%5E2-b%5E2%29.    (2)


So, now we should integrate this expression over  'b' from b=0 to b=a.


It is a simple table integral. In order for do not strain my mind, I asked Artificial Intelligence
to calculate this integral. The AI successfully performed this job and produced the answer

    integral of the area expression sqrt%283%29%2A%28a%5E2-b%5E2%29 over 'b' from b=0 to b=a  is 2%2A%28sqrt%283%29%2F3%29%2Aa%5E3.     (3)


The whole volume consists of two symmetrical parts, one in the space 0 <= b <= a  
and the other in the space  -a <= b <= 0.


Therefore, the volume of the whole solid is doubled expression (3).


ANSWER.  The volume of the solid under the problem's question (a) is  4%2A%28sqrt%283%29%2F3%29%2Aa%5E3.

Solved correctly.



Answer by n2(89) About Me  (Show Source):
You can put this solution on YOUR website!
.
Help me for ths question please.
a. The region bounded by the circle x2+y2=a2 is the base of a solid. Cross sections taken perpendicular to the base and parallel to the y-axis are equilateral triangles.
Find the volume of the solid.
b. A cylindrical hole of constant radius r and height h is bored through the centre of a sphere with radius R.
Find the volume of the solid in terms of h.
c. The region bounded by the curve y=−x2+4x−3 and the x-axis is rotated about the line x=3 to form a solid.
~~~~~~~~~~~~~~~~~~~~~~~~~~~~~~~~~~~~~~~


                In this my post, I provide the solution for question (a), ONLY.


        To solve this problem, we should take the integral of the area of equilateral triangles in
        vertical sections and simply integrate this expression for the equilateral triangle areas
        from the y=0 section to the y=a section.


So, we consider the section of the solid y=b by the plane perpendicular to the base z=0
and parallel to z-axis.


This plane makes a chord in the circle  x^2+y^2 = a^2  at the base.

The length of this chord is  2%2Asqrt%28a%5E2-b%5E2%29.   (1)

This chord is the side of the equilateral triangle - so the area of this triangle is

    area(b) = %28sqrt%283%29%2F4%29%2Ac%5E2 = %28sqrt%283%29%2F4%29%2A4%2A%28a%5E2-b%5E2%29 = sqrt%283%29%2A%28a%5E2-b%5E2%29.    (2)


So, now we should integrate this expression over  'b' from b=0 to b=a.


It is a simple table integral. In order for do not strain my mind, I asked Artificial Intelligence
to calculate this integral. The AI successfully performed this job and produced the answer

    integral of the area expression sqrt%283%29%2A%28a%5E2-b%5E2%29 over 'b' from b=0 to b=a  is 2%2A%28sqrt%283%29%2F3%29%2Aa%5E3.     (3)


The whole volume consists of two symmetrical parts, one in the space 0 <= b <= a  
and the other in the space  -a <= b <= 0.


Therefore, the volume of the whole solid is doubled expression (3).


ANSWER.  The volume of the solid under the problem's question (a) is  4%2A%28sqrt%283%29%2F3%29%2Aa%5E3.

Solved.