SOLUTION: A metal pipe of length 35cm .The internal and external diameters of the pipe are 20mm and 28mm respectively.Find the volume of metal used in making the pipe,giving your answer in c

Algebra ->  Volume -> SOLUTION: A metal pipe of length 35cm .The internal and external diameters of the pipe are 20mm and 28mm respectively.Find the volume of metal used in making the pipe,giving your answer in c      Log On


   



Question 1159940: A metal pipe of length 35cm .The internal and external diameters of the pipe are 20mm and 28mm respectively.Find the volume of metal used in making the pipe,giving your answer in cubic centimeters.
Found 2 solutions by josgarithmetic, ikleyn:
Answer by josgarithmetic(39620) About Me  (Show Source):
Answer by ikleyn(52814) About Me  (Show Source):
You can put this solution on YOUR website!
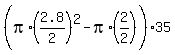
.

    Volume = %28pi%2A%282.8%2F2%29%5E2+-+pi%2A%282.0%2F2%29%29%2A35%29 = 3.14%2A35%2A%281.4%5E2+-+1%5E2%29 = 105.504 cubic centimetres.    ANSWER

Solved.