SOLUTION: The height of one right circular cylinder is 7 centimeters and its radius is 2 centimeters. The height of the second right circular cylinder is 28 centimeters and its radius is als

Algebra ->  Volume -> SOLUTION: The height of one right circular cylinder is 7 centimeters and its radius is 2 centimeters. The height of the second right circular cylinder is 28 centimeters and its radius is als      Log On


   



Question 1078216: The height of one right circular cylinder is 7 centimeters and its radius is 2 centimeters. The height of the second right circular cylinder is 28 centimeters and its radius is also 2 centimeters. What is the ratio of the volume of the larger cylinder to the volume of the smaller cylinder?

Answer by Fombitz(32388) About Me  (Show Source):
You can put this solution on YOUR website!
V=pi%2AR%5E2%2AH so,
V%5B1%5D=pi%2AR%5B1%5D%5E2%2AH%5B1%5D
V%5B2%5D=pi%2AR%5B2%5D%5E2%2AH%5B2%5D
and
V%5B2%5D%2FV%5B1%5D=%28pi%2AR%5B2%5D%5E2%2AH%5B2%5D%29%2F%28pi%2AR%5B1%5D%5E2%2AH%5B1%5D%29
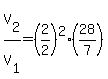
V%5B2%5D%2FV%5B1%5D=%28R%5B2%5D%2FR%5B1%5D%29%5E2%2A%28H%5B2%5D%2FH%5B1%5D%29
V%5B2%5D%2FV%5B1%5D=%282%2F2%29%5E2%2A%2828%2F7%29
Work that out for the final answer.