SOLUTION: An aluminum pop can measures 11 cm high and has a radius of 3 cm. What is the surface area of the can, to the nearest tenth of a square inch?

Algebra ->  Volume -> SOLUTION: An aluminum pop can measures 11 cm high and has a radius of 3 cm. What is the surface area of the can, to the nearest tenth of a square inch?      Log On


   



Question 1057490: An aluminum pop can measures 11 cm high and has a radius of 3 cm. What is the surface area of the can, to the nearest tenth of a square inch?
Answer by josgarithmetic(39631) About Me  (Show Source):
You can put this solution on YOUR website!
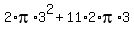
2%2Api%2A3%5E2%2B11%2A2%2Api%2A3 simply according to formula, which you may be studying.