SOLUTION: A open top rectangular container with a square base has to be manufactured of metal plate .the volume of the container should be 62,5m^3.determine the dimensions of the container T

Algebra ->  Volume -> SOLUTION: A open top rectangular container with a square base has to be manufactured of metal plate .the volume of the container should be 62,5m^3.determine the dimensions of the container T      Log On


   



Question 1055889: A open top rectangular container with a square base has to be manufactured of metal plate .the volume of the container should be 62,5m^3.determine the dimensions of the container That will yield a minimum surface area.
Answer by josgarithmetic(39617) About Me  (Show Source):
You can put this solution on YOUR website!
Bottom of x by x, and height of y.
S, the surface area for the five sides.

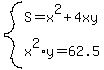
system%28S=x%5E2%2B4xy%2Cx%5E2%2Ay=62.5%29

y=62.5%2Fx%5E2

Substitute into S.
S=x%5E2%2B4x%2862.5%29%2Fx%5E2
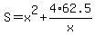
S=x%5E2%2B4%2A62.5%2Fx

S=x%5E2%2B4%2A62.5%2Ax%5E%28-1%29

dS%2F%28dx%29=2x%2B4%2A62.5%28-1%29x%5E%28-2%29

dS%2Fdx=2x-250%2Fx%5E2

dS%2Fdx=%282x%5E3-250%29%2Fx%5E2

highlight_green%28%282x%5E3-250%29%2Fx%5E2=0%29

2x%5E3-250=0
2x%5E3=250
x%5E3=125
highlight%28x=5%29
Bottom square dimensions each are 5 units.
-
y=62.5%2F5%5E2
highlight%28y=2.5%29
The height is 2.5 units, to make box have its maximum surface area.