SOLUTION: the scalar product of vector p ,with the vectors i-3k , i-2j and i+j+4k are o,5 and 8 respectively. find the vector p.

Algebra ->  Vectors -> SOLUTION: the scalar product of vector p ,with the vectors i-3k , i-2j and i+j+4k are o,5 and 8 respectively. find the vector p.       Log On


   



Question 963749: the scalar product of vector p ,with the vectors i-3k , i-2j and i+j+4k are o,5 and 8 respectively. find the vector p.
Answer by Fombitz(32388) About Me  (Show Source):
You can put this solution on YOUR website!
1.p%5Bx%5D%2A%281%29%2Bp%5By%5D%2A%280%29%2Bp%5Bz%5D%2A%28-3%29=0
2.p%5Bx%5D%2A%281%29%2Bp%5By%5D%2A%28-2%29%2Bp%5Bz%5D%2A%280%29=5
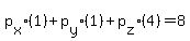
3.p%5Bx%5D%2A%281%29%2Bp%5By%5D%2A%281%29%2Bp%5Bz%5D%2A%284%29=8
.
.
.
Subtract eq. 1 from eq. 2,
p%5Bx%5D-2p%5By%5D-p%5Bx%5D%2B3p%5Bz%5D=5-0
4.-2p%5By%5D%2B3p%5Bz%5D=5
Subtract eq. 1 from eq. 3,
p%5Bx%5D%2Bp%5By%5D%2B4p%5Bz%5D-p%5Bx%5D%2B3p%5Bz%5D=8-0
5.p%5By%5D%2B7p%5Bz%5D=8
Multiply eq. 5 by 2 and add to eq. 4,
2p%5By%5D%2B15p%5Bz%5D-2p%5By%5D%2B3p%5Bz%5D=16%2B5
17p%5Bz%5D=21
p%5Bz%5D=21%2F17
Then,
p%5By%5D%2B7%2821%2F17%29=8
p%5By%5D=136%2F17-147%2F17
p%5By%5D=-11%2F17
and
p%5Bx%5D-3%2821%2F17%29=0
p%5Bx%5D=63%2F17
.
.
.
P=(63%2F17,-11%2F17,21%2F17)=%2863%2F17%29i-%2811%2F17%29j%2B%2821%2F17%29k