SOLUTION: Can anyone help me with solving this derivative? {{{ (1) / (1 + (1/(x+1))) }}}

Algebra ->  Vectors -> SOLUTION: Can anyone help me with solving this derivative? {{{ (1) / (1 + (1/(x+1))) }}}      Log On


   



Question 307483: Can anyone help me with solving this derivative?
+%281%29+%2F+%281+%2B+%281%2F%28x%2B1%29%29%29++

Answer by Alan3354(69443) About Me  (Show Source):
You can put this solution on YOUR website!
+%281%29+%2F+%281+%2B+%281%2F%28x%2B1%29%29%29++
= +%281%29+%2F+%28%28x%2B2%29%2F%28x%2B1%29%29%29++
= (x+1)/(x+2)
------------------
f(x) = %28x%2B1%29%2A%28x%2B2%29%5E-1+
--------------------------------
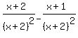
f'(x) = +%28x%2B2%29%5E-1+%2B+-1%28x%2B1%29%28x%2B2%29-2
= +%28x%2B2%29%2F%28x%2B2%29%5E2+-+%28x%2B1%29%2F%28x%2B2%29%5E2
= 1%2F%28x%2B2%29%5E2