Question 1184825: Object P moves according to r=(5i,-1j,2k)+t(-1,-3,1), and the object q moves according to r=(-4,-3,4)+t(1,-2,2). The distance units are meters, and t>0 is the time in seconds.
(a) Find the initial distance between the objects.
(b)Find the shortest distance between the objects, and the time when it occurs
Answer by KMST(5328) (Show Source):
You can put this solution on YOUR website! I understand that the coordinates of P (in meters) are
, , ,
and the coordinates of Q (in meters) are
, , , with in seconds.
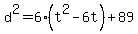
The square of the distance between the two objects is






That equation shows that the initial distance between the objects (in meters) is , or approximately .
With some more algebraic manipulation, we get


That last equation shows that the maximum for , and for occurs when  .
At that time,
and  or approximately
|
|
|