SOLUTION: Find the vector projection of u onto v. Then write u as the sum of two orthogonal​ vectors, one of which is proj (Subscript v)u. u=<2​,8>, v= <4​, -5> proj (Subscript v

Algebra ->  Vectors -> SOLUTION: Find the vector projection of u onto v. Then write u as the sum of two orthogonal​ vectors, one of which is proj (Subscript v)u. u=<2​,8>, v= <4​, -5> proj (Subscript v      Log On


   



Question 1132778: Find the vector projection of u onto v. Then write u as the sum of two orthogonal​ vectors, one of which is proj (Subscript v)u.
u=<2​,8>, v= <4​, -5>
proj (Subscript v)u= <-128/41, 160/41>


Answer by MathLover1(20850) About Me  (Show Source):
You can put this solution on YOUR website!
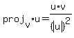
u= <2 ,8>, v=<4 ,-5>
proj%5Bv%5Du=%28u%2Av%29%2F%28abs%28u%29%29%5E2*<4 ,-5>

u%2Av=+8+-40=-32
%28abs%28u%29%29%5E2=%28sqrt%284%5E2%2B5%5E2%29%29%5E2=%28sqrt%2841%29%29%5E2

substitute in proj%5Bv%5Du=%28u%2Av%29%2F%28abs%28u%29%29%5E2*<4 ,-5>

proj%5Bv%5Du=-32%2F%28sqrt%2841%29%29%5E2*<4 ,-5>

proj%5Bv%5Du=(-32%2F41)*<4+,-5>

proj[v]u=(-%2832%2F41%29%2A4,-%2832%2F41%29%28-5%29)

proj%5Bv%5Du=(-128%2F41 ,160%2F41)