Question 1114535: Unit vector which are perpendicular to vector 2i - j - 3k and lie in the plane of vector 7i - j - k and i + 5j - 3k
Answer by Fombitz(32388) (Show Source):
You can put this solution on YOUR website! Let A=(2,-1,-3), B=(7,-1,-1), C=(1,5,-3)
Find D that is coplanar to B and C and also perpendicular to A.
Coplanar means that
where and are two scalars.
.
.
.
Perpendicular means that 






So then,

D=p(2,-1,-3)-3p(1,5,-3)
D=(2p,-p,-3p)+(-3p,-15p,9p)
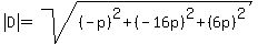
D=(-p,-16p,6p)
To find the unit vector, divide by the magnitude of the vector,




Dividing,

=( , , )
=( , , )
|
|
|