SOLUTION: Can you please hekp with equation:Calculate: 3 tan pi/6 - sec pi/4 + 4 cot^2(2pi/3).
Algebra
->
Trigonometry-basics
-> SOLUTION: Can you please hekp with equation:Calculate: 3 tan pi/6 - sec pi/4 + 4 cot^2(2pi/3).
Log On
Algebra: Trigonometry
Section
Solvers
Solvers
Lessons
Lessons
Answers archive
Answers
Click here to see ALL problems on Trigonometry-basics
Question 983607
:
Can you please hekp with equation:Calculate: 3 tan pi/6 - sec pi/4 + 4 cot^2(2pi/3).
Answer by
Alan3354(69443)
(
Show Source
):
You can
put this solution on YOUR website!
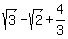
Calculate: 3 tan pi/6 - sec pi/4 + 4 cot^2(2pi/3)
---------
= 3*sqrt(3)/3 - sqrt(2) + 4/3
=
=~ 1.65117