SOLUTION: What are the square roots of (3+4i)? (Enter your answer using rectangular coordinates.) Thank you.

Algebra ->  Trigonometry-basics -> SOLUTION: What are the square roots of (3+4i)? (Enter your answer using rectangular coordinates.) Thank you.      Log On


   



Question 983314: What are the square roots of (3+4i)?
(Enter your answer using rectangular coordinates.)
Thank you.

Answer by josgarithmetic(39620) About Me  (Show Source):
You can put this solution on YOUR website!
?

%28x%2Byi%29%28x%2Byi%29=3%2B4i

x%5E2%2B2xyi%2By%5E2%2Ai%5E2

x%5E2%2By%5E2%2Ai%5E2%2B2xyi

x%5E2%2B%28-1%29y%5E2%2B2xyi

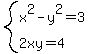
x%5E2-y%5E2%2B2xyi compare corresponding parts to 3%2B4i.

system%28x%5E2-y%5E2=3%2C2xy=4%29
Find either variable or the other using the second equation and substitute into the first equation:
y=2%2Fx;
x%5E2-%282%2Fx%29%5E2=3
x%5E4-2=3x%5E2
x%5E4-3x%5E2-2=0
---not factorable---
x%5E2=%283%2B-+sqrt%289%2B4%2A2%29%29%2F2
x%5E2=%283%2B-+sqrt%2817%29%29%2F2
-
highlight%28x=0%2B-+sqrt%28%283%2B-+sqrt%2817%29%29%2F2%29%29-----this is four different values.

You want to be sure that any y value you find corresponds to the proper x value. Go back to y=2%2Fx, and find the y which corresponds with any individual chosen x.