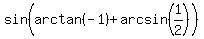
I read your writing sin(tan^-1(-1)+sin^-1(1/2)) as
.
Do I read correctly?
If my reading is correct, then the rest part is simple.
= = 30°,
= = -45°.
sin(30° - 45°) = sin(30°)*cos(45°) - cos(30°)*sin(45°) (subtraction formula for sines of Trigonometry, see the lesson Addition and subtraction formulas in this site)