SOLUTION: If sin(Θ) = 3/5, and Θ is in quadrant II. determine in exact form: sin(Θ + π/6)

Algebra ->  Trigonometry-basics -> SOLUTION: If sin(Θ) = 3/5, and Θ is in quadrant II. determine in exact form: sin(Θ + π/6)      Log On


   



Question 979116: If sin(Θ) = 3/5, and Θ is in quadrant II. determine in exact form:
sin(Θ + π/6)

Answer by KMST(5328) About Me  (Show Source):
You can put this solution on YOUR website!
sin%28theta%29=3%2F5
theta is in quadrant II ---> cos%28theta%29%3C0
We all remember the trigonometric identity
cos%5E2%28theta%29%2Bsin%5E2%28theta%29=1 , so we know that
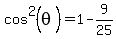
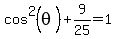
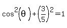
cos%5E2%28theta%29%2B%283%2F5%29%5E2=1--->cos%5E2%28theta%29%2B9%2F25=1--->cos%5E2%28theta%29=1-9%2F25--->cos%5E2%28theta%29=16%2F25
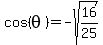
Then, system%28cos%28theta%29%3C0%2Ccos%5E2%28theta%29=16%2F25%29--->cos%28theta%29=-sqrt%2816%2F25%29--->cos%28theta%29=-4%2F5
Many of us remember that sin%28pi%2F6%29=1%2F2 and cos%28pi%2F6%29=sqrt%283%29%2F2 ,
and a few of us may remember the trigonometric identity
sin%28A%2BB%29=sin%28A%29cos%28B%29%2Bsin%28B%29cos%28A%29 .
Putting together all that we now know,
sin%28theta%2Bpi%2F6%29=sin%28theta%29cos%28pi%2F6%29%2Bsin%28pi%2F6%29cos%28theta%29
sin%28theta%2Bpi%2F6%29=%283%2F5%29%28sqrt%283%29%2F2%29%2B%281%2F2%29%28-4%2F5%29
sin%28theta%2Bpi%2F6%29=3sqrt%283%29%2F10-4%2F10%29
highlight%28sin%28theta%2Bpi%2F6%29=%283sqrt%283%29-4%29%2F10%29