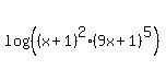
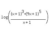
SOLUTION: Condense the following into a detailed single logarithmic expression: 3log(x +1) + 5log(9x +1) - log(x+1)

Algebra ->  Trigonometry-basics -> SOLUTION: Condense the following into a detailed single logarithmic expression: 3log(x +1) + 5log(9x +1) - log(x+1)      Log On


   



Question 978845: Condense the following into a detailed single logarithmic expression:
3log(x +1) + 5log(9x +1) - log(x+1)

Answer by MathLover1(20850) About Me  (Show Source):