SOLUTION: Hello! I need help solving this please. Find all solutions of the equation in the interval [0, 2π): 24 sin2 x = 24 − 12 cos x Please explain each step. Thank

Algebra ->  Trigonometry-basics -> SOLUTION: Hello! I need help solving this please. Find all solutions of the equation in the interval [0, 2π): 24 sin2 x = 24 − 12 cos x Please explain each step. Thank       Log On


   



Question 978216: Hello!
I need help solving this please.
Find all solutions of the equation in the interval [0, 2π):
24 sin2 x = 24 − 12 cos x
Please explain each step.
Thank you

Answer by KMST(5328) About Me  (Show Source):
You can put this solution on YOUR website!
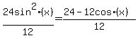
I am assuming that the equation is 24+sin%5E2+%28x%29+=+24+%26%238722%3B+12+cos+%28x%29 .
I would divide both sides of the equation by 12 to get a friendlier equivalent equation:
24+sin%5E2+%28x%29+=+24+-12+cos+%28x%29--->24+sin%5E2+%28x%29%2F12+=+%2824+-+12+cos+%28x%29%29%2F12--->2sin%5E2+%28x%29+=+2+-+cos+%28x%29 .
Then, using the fact that
sin%5E2%28x%29%2Bcos%5E2%28x%29=1<--->sin%5E2%28x%29=1-cos%5E2%28x%29 ,
I would re-write 2sin%5E2+%28x%29+=+2+-+cos+%28x%29 as
2%281-cos%5E2%28x%29%29+=+2+-+cos+%28x%29 ,
and then I would just write u for cos%28x%29 to save ink.
With the "change of variable" u=cos%28x%29 , I save ink and confusion:
2%281-u%5E2%29+=+2-u looks a lot easier on the eyes.
Now, I solve:
2%281-u%5E2%29+=+2+-+u
2-2u%5E2+=+2+-+u
2-2u%5E2%2B2u%5E2-2+=+2+-+u%2B2u%5E2-2
0=-u%2B2u%5E2
That last equation would traditionally be written as
2u%5E2-u=0 , and is a "quadratic equation".
Quadratic equations can be solved by "completing the square" or by using the quadratic formula.
In certain cases, they can also be solved by factoring,
and are that lucky in this case. Factoring we get
2u%5E2-u=0--->u%282u-1%29=0--->system%28u=0%2C%22or%22%2C2u-1=0%29--->system%28u=0%2C%22or%22%2Cu=1%2F2%29 .
In the interval with 0%3C=x%3C2pi ,
u=cos%28x%29=0--->system%28highlight%28x=pi%2F2%29%2C%22or%22%2Chighlight%28x=3pi%2F2%29%29 and u=cos%28x%29=1%2F2--->system%28highlight%28x=pi%2F3%29%2C%22or%22%2Chighlight%28x=5pi%2F3%29%29