SOLUTION: If Asin^2θ + Bcos^2θ = C, express sinθ and cosθ in terms of A, B and C

Algebra ->  Trigonometry-basics -> SOLUTION: If Asin^2θ + Bcos^2θ = C, express sinθ and cosθ in terms of A, B and C      Log On


   



Question 975043: If Asin^2θ + Bcos^2θ = C, express sinθ and cosθ in terms of A, B and C
Answer by Edwin McCravy(20060) About Me  (Show Source):
You can put this solution on YOUR website!
A%2Asin%5E2%28theta%29+%2B+B%2Acos%5E2%28theta%29%22%22=%22%22C
Use the identity cos%5E2%28theta%29=1-sin%5E2%28theta%29
A%2Asin%5E2%28theta%29+%2B+B%2A%281-sin%5E2%28theta%29%29%22%22=%22%22C
A%2Asin%5E2%28theta%29+%2B+B-B%2Asin%5E2%28theta%29%22%22=%22%22C
A%2Asin%5E2%28theta%29-B%2Asin%5E2%28theta%29%22%22=%22%22C-B
sin%5E2%28theta%29%2A%28A-B%29%22%22=%22%22C-B
sin%5E2%28theta%29%22%22=%22%22%28C-B%29%2F%28A-B%29
sin%28theta%29%22%22=%22%22%22%22+%2B-+sqrt%28%28C-B%29%2F%28A-B%29%29
-------------------------------
A%2Asin%5E2%28theta%29+%2B+B%2Acos%5E2%28theta%29%22%22=%22%22C
Use the identity sin%5E2%28theta%29=1-cos%5E2%28theta%29
A%2A%281-cos%5E2%28theta%29%29+%2B+B%2Acos%5E2%28theta%29%22%22=%22%22C
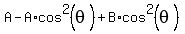
A-A%2Acos%5E2%28theta%29+%2B+B%2Acos%5E2%28theta%29%22%22=%22%22C
-A%2Acos%5E2%28theta%29+%2B+B%2Acos%5E2%28theta%29%22%22=%22%22C-A
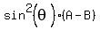
cos%5E2%28theta%29%2A%28-A%2BB%29%22%22=%22%22C-A
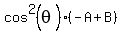
cos%5E2%28theta%29%22%22=%22%22%28C-A%29%2F%28-A%2BB%29
cos%28theta%29%22%22=%22%22%22%22+%2B-+sqrt%28%28C-A%29%2F%28-A%2BB%29%29
cos%28theta%29%22%22=%22%22%22%22+%2B-+sqrt%28%28C-A%29%2F%28B-A%29%29
Edwin