SOLUTION: Evaluate without the use of a calculator: Sin 27

Algebra ->  Trigonometry-basics -> SOLUTION: Evaluate without the use of a calculator: Sin 27      Log On


   



Question 962895: Evaluate without the use of a calculator: Sin 27
Answer by Alan3354(69443) About Me  (Show Source):
You can put this solution on YOUR website!
Evaluate without the use of a calculator: Sin 27
--------------
Start with:
sin%2818%29+=+%28sqrt%285%29-1%29%2F4
cos%28x%29+=+sqrt%281+-+sin%5E2%28x%29%29
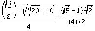
--> cos%2818%29+=+sqrt%28sqrt%2820%29+%2B+10%29%2F4
----------------
sin(27) = sin(45 - 18)
= sin(45)cos(18) - sin(18)cos(45)
=
= %28sqrt%282%29%2F8%29%2A%28sqrt%28sqrt%2820%29+%2B+10%29+-+sqrt%285%29%2B1%29%29
= %28sqrt%28sqrt%2880%29+%2B+20%29+-+sqrt%2810%29%2Bsqrt%282%29%29%2F8