Let t be a real number with
,
Find the exact value for each of the following:
therefore angle t is in the 4th quadrant.
a. sin(t+3pi/2)
Use the identity








b. sec(-t)
Multiplying an angle by -1 moves the angle t from 4th quadrant to 1st quadrant,
and the secant is the reciprocal of the cosine and is positive in 1st and 4th
quadrants. So








c. cos(2pi)
That's just 1. It has nothing to do with t.
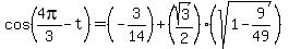
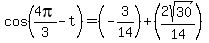
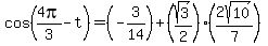
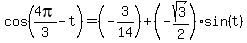
d.cos(4pi/3 - t)
Use the identity
Use identity
since t is in quadrant 4 where sine is negative we use
the negative:
Edwin