SOLUTION: If sin A = 7/10 what is the value of cos A
Algebra
->
Trigonometry-basics
-> SOLUTION: If sin A = 7/10 what is the value of cos A
Log On
Algebra: Trigonometry
Section
Solvers
Solvers
Lessons
Lessons
Answers archive
Answers
Click here to see ALL problems on Trigonometry-basics
Question 959866
:
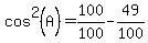
If sin A = 7/10 what is the value of cos A
Answer by
Fombitz(32388)
(
Show Source
):
You can
put this solution on YOUR website!