SOLUTION: Consider the following equation: cos2x = cos^4x - sin^4x Verify the statement for {{{ x = (pi)/(6) }}} Thank you

Algebra ->  Trigonometry-basics -> SOLUTION: Consider the following equation: cos2x = cos^4x - sin^4x Verify the statement for {{{ x = (pi)/(6) }}} Thank you      Log On


   



Question 955325: Consider the following equation:
cos2x = cos^4x - sin^4x
Verify the statement for +x+=+%28pi%29%2F%286%29+
Thank you

Answer by MathLover1(20850) About Me  (Show Source):
You can put this solution on YOUR website!

cos%282x%29+=+cos%5E4%28x%29+-+sin%5E4%28x+%29
if x=pi%2F6, then
cos%282pi%2F6%29+=+cos%5E4%28pi%2F6%29+-+sin%5E4%28pi%2F6+%29
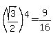
cos%28pi%2F3%29+=+cos%5E4%28pi%2F6%29+-+sin%5E4%28pi%2F6+%29 .......since cos%28pi%2F3%29=1%2F2, cos%28pi%2F6%29=sqrt%283%29%2F2 =>
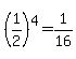
%28sqrt%283%29%2F2%29%5E4=9%2F16 and sin%28pi%2F6+%29=1%2F2 =>%281%2F2+%29%5E4=1%2F16, we have
1%2F2=9%2F16-1%2F16
1%2F2=8%2F16
1%2F2=cross%288%291%2Fcross%2816%292
1%2F2=1%2F2