SOLUTION: Suppose 0<theta<pi/2 and sin[theta]=7/17. Evaluate cos[theta]

Algebra ->  Trigonometry-basics -> SOLUTION: Suppose 0<theta<pi/2 and sin[theta]=7/17. Evaluate cos[theta]       Log On


   



Question 950974: Suppose 0
Answer by Fombitz(32388) About Me  (Show Source):
You can put this solution on YOUR website!
You know that,
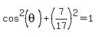
cos%5E2%28theta%29%2Bsin%5E2%28theta%29=1
cos%5E2%28theta%29%2B%287%2F17%29%5E2=1
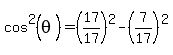
cos%5E2%28theta%29=%2817%2F17%29%5E2-%287%2F17%29%5E2
cos%5E2%28theta%29=%28289-49%29%2F%2817%29%5E2
Since we know it's in the first quadrant, we only need the positive square root,
cos%28theta%29=sqrt%28240%29%2F17
cos%28theta%29=%284%2F17%29sqrt%2815%29