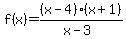
SOLUTION: find the zeros of the given rational function f(x) = (x^2 - 3x - 4) / (x - 3)
Algebra
->
Trigonometry-basics
-> SOLUTION: find the zeros of the given rational function f(x) = (x^2 - 3x - 4) / (x - 3)
Log On
Algebra: Trigonometry
Section
Solvers
Solvers
Lessons
Lessons
Answers archive
Answers
Click here to see ALL problems on Trigonometry-basics
Question 949935
:
find the zeros of the given rational function f(x) = (x^2 - 3x - 4) / (x - 3)
Answer by
josgarithmetic(39620)
(
Show Source
):
You can
put this solution on YOUR website!
The numerator tells you the zeros. The factors in numerator are not in the denominator - no common factors between numerator and denominator, so the zeros are
and
.