SOLUTION: P(x) = x5 − x4 − 5x3 + x2 + 8x + 4. Find all real zeros.

Algebra ->  Trigonometry-basics -> SOLUTION: P(x) = x5 − x4 − 5x3 + x2 + 8x + 4. Find all real zeros.       Log On


   



Question 947223: P(x) = x5 − x4 − 5x3 + x2 + 8x + 4. Find all real zeros.
Answer by lwsshak3(11628) About Me  (Show Source):
You can put this solution on YOUR website!
P(x) = x5 − x4 − 5x3 + x2 + 8x + 4. Find all real zeros.
***
Rational Roots Theorem with synthetic division
...0...|....1......-1......-5......1......8.......4
...1...|....1.......0......-5.....-4......4.......8
...2...|....1.......1......-3.....-5......-2......0 (2 is a root or zero)
========================
...0...|....1.......1......-3.....-5......-2
...2...|....1.......3.......3......1........0 (2 is a root of mult.2)
========================
...2...|....1.......3.......3......1
..-1...|....1......2........1.....0 (-1 is a root or zero)
===========================
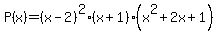
P%28x%29=%28x-2%29%5E2%28x%2B1%29%28x%5E2%2B2x%2B1%29
P%28x%29=%28x-2%29%5E2%28x%2B1%29%28x%2B1%29%5E2
P%28x%29=%28x-2%29%5E2%28x%2B1%29%5E3
zeros are:-1(mult.3), 2(mult.2)