SOLUTION: please help me solve this. thank you so much.p.s. i put each part of the equation on a separate line so that it would not all squish together. it reads: equation 1 plus equation 2

Algebra ->  Trigonometry-basics -> SOLUTION: please help me solve this. thank you so much.p.s. i put each part of the equation on a separate line so that it would not all squish together. it reads: equation 1 plus equation 2       Log On


   



Question 94596: please help me solve this. thank you so much.p.s. i put each part of the equation on a separate line so that it would not all squish together. it reads: equation 1 plus equation 2 equals equation 3
2x-10
---------
3x^2-x-14
plus
7
----
3x-7
equals
8
---
x+2
thank you so much and God bless.

Answer by ankor@dixie-net.com(22740) About Me  (Show Source):
You can put this solution on YOUR website!
Assume you mean:
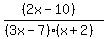
%28%282x-10%29%29%2F%28%283x%5E2-x-14%29%29 + 7%2F%28%283x-7%29%29 = 8%2F%28%28x%2B2%29%29
:
factor the quadratic and you have:
%28%282x-10%29%29%2F%28%283x-7%29%28x%2B2%29%29 + 7%2F%28%283x-7%29%29 = 8%2F%28%28x%2B2%29%29
:
Multiply the equation by (3x-7)(x+2) to get rid of the denominators, you have:
:
(2x-10) + 7(x+2) = 8(3x-7)
:
2x - 10 + 7x + 14 = 24x - 56; multiplied what's inside the brackets
:
9x + 4 = 24x - 56
:
9x - 24x = -56 - 4
:
-15x = -60
:
x = -60/-15
:
x = + 4