SOLUTION: Problem Find the vertex and the x-intercepts of the parabola: y = 3x2+5x–7 Round your answers to one decimal place. Show work

Algebra ->  Trigonometry-basics -> SOLUTION: Problem Find the vertex and the x-intercepts of the parabola: y = 3x2+5x–7 Round your answers to one decimal place. Show work       Log On


   



Question 945443: Problem
Find the vertex and the x-intercepts of the parabola:
y = 3x2+5x–7
Round your answers to one decimal place. Show work

Answer by Fombitz(32388) About Me  (Show Source):
You can put this solution on YOUR website!
Convert to vertex form by completing the square,
y=3x%5E2%2B5x-7
y=3%28x%5E2%2B%285%2F3%29x%29-7
y=3%28x%5E2%2B%285%2F3%29x%2B%285%2F6%29%5E2%29-7-3%285%2F6%29%5E2
y=3%28x%2B5%2F6%29%5E2-7-75%2F36
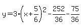
y=3%28x%2B5%2F6%29%5E2-252%2F36-75%2F36
y=3%28x%2B5%2F6%29%5E2-327%2F36
y=3%28x%2B5%2F6%29%5E2-109%2F12
The vertex is (-5%2F6,-109%2F12).
For x-intercepts,
0=3%28x%2B5%2F6%29%5E2-109%2F12
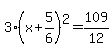
3%28x%2B5%2F6%29%5E2=109%2F12
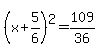
%28x%2B5%2F6%29%5E2=109%2F36
x%2B5%2F6+=+0+%2B-+sqrt%28109%29%2F6
x=-5%2F6+%2B-+sqrt%28109%29%2F6