You can put this solution on YOUR website! Find all values of x in the interval (0, 2pi) that satisfy the condition:
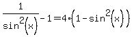
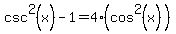
((csc^2)x)-1=4 (cos^2x)
***
lcd:sin^2(x)
(4sin^2(x)-1)(sin^2(x)-1)=0
..
4sin^2(x)-1=0
sin^2(x)=1/4
sin(x)=±1/2
x=π/6,5π/6,7π/6,11π/6
or
sin^2(x)=1
sin(x)=±1
x=π/2,3π/2