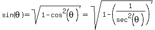
SOLUTION: Use fundamental iddentities to write the first expression in terms of the second, for any acute angle theta sin theta, sec theta

Algebra ->  Trigonometry-basics -> SOLUTION: Use fundamental iddentities to write the first expression in terms of the second, for any acute angle theta sin theta, sec theta       Log On


   



Question 939758: Use fundamental iddentities to write the first expression in terms of the second, for any acute angle theta
sin theta, sec theta

Answer by lwsshak3(11628) About Me  (Show Source):
You can put this solution on YOUR website!
Use fundamental iddentities to write the first expression in terms of the second, for any acute angle theta
sin theta, sec theta
***
sin%28theta%29=sqrt%281-cos%5E2%28theta%29%29=sqrt%281-%281%2Fsec%5E2%28theta%29%29%29