SOLUTION: I have one more question, my teacher told me that I need to factor the following problem in order to find the solutions but I'm not sure how to do it. Here's the question: Find

Algebra ->  Trigonometry-basics -> SOLUTION: I have one more question, my teacher told me that I need to factor the following problem in order to find the solutions but I'm not sure how to do it. Here's the question: Find       Log On


   



Question 936244: I have one more question, my teacher told me that I need to factor the following problem in order to find the solutions but I'm not sure how to do it. Here's the question:
Find all solutions to the equation in the interval [0,2pi). 2cos^2x + cosx-1=0.

Answer by josgarithmetic(39620) About Me  (Show Source):
You can put this solution on YOUR website!
Factoring wanted:
2cos^2x + cosx-1=0
and what you wrote will not render on the system:
2cos%5E2x+%2B+cosx-1=0


Assuming to mean, 2cos%5E2%28x%29+%2B+cos%28x%29-1=0.


Substituting for u=cos%28x%29, you can express as
2u%5E2%2Bu-1=0.
Is this factorable?
You can try logical combinations or resort to finding discriminant.
'
Discriminant:1%5E2-4%2A2%2A%28-1%29=1%2B8=9, and this is NOT zero.
A discriminant of zero would indicate the quadratic expression factorable.


So far, you seem correct, in that your expression given does not seem factorable.


Continue with general solution of a quadratic equation.
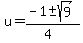
Still in terms of u,
u=%28-1%2B-+sqrt%289%29%29%2F%284%29
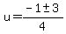
u=%28-1%2B-+3%29%2F4
u=-1 OR u=1%2F2, meaning the roots are found, so you can give the equation as:
highlight_green%28%28u%2B1%29%28u-1%2F2%29=0%29.


THAT means, when reversing the substitution,
highlight%28%28cos%28x%29%2B1%29%28cos%28x%29-1%2F2%29=0%29.



Finally, your teacher is correct. The left member CAN be factored, but using knowledge of the general solution for a quadratic formula was very helpful in finding that factorization.