SOLUTION: Find the area of the region bounded by the graph of {{{ f(x) = x^3 - x^2 - 2x }}} and the x axis over the interval [-1, 2].

Algebra ->  Trigonometry-basics -> SOLUTION: Find the area of the region bounded by the graph of {{{ f(x) = x^3 - x^2 - 2x }}} and the x axis over the interval [-1, 2].      Log On


   



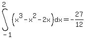
Question 934225: Find the area of the region bounded by the graph of +f%28x%29+=+x%5E3+-+x%5E2+-+2x+ and the x axis over the interval [-1, 2].
Answer by Fombitz(32388) About Me  (Show Source):