SOLUTION: If sin@-cos@ = 0 then what is sin^4@+cos^4@=?
Algebra
->
Trigonometry-basics
-> SOLUTION: If sin@-cos@ = 0 then what is sin^4@+cos^4@=?
Log On
Algebra: Trigonometry
Section
Solvers
Solvers
Lessons
Lessons
Answers archive
Answers
Click here to see ALL problems on Trigonometry-basics
Question 932479
:
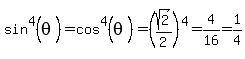
If sin@-cos@ = 0 then what is sin^4@+cos^4@=?
Answer by
Fombitz(32388)
(
Show Source
):
You can
put this solution on YOUR website!
So,