SOLUTION: If A= 40 degrees B = 60 degrees b = 30 find: a= c= angle of C=

Algebra ->  Trigonometry-basics -> SOLUTION: If A= 40 degrees B = 60 degrees b = 30 find: a= c= angle of C=      Log On


   



Question 930722: If A= 40 degrees B = 60 degrees b = 30 find:
a=
c=
angle of C=

Found 2 solutions by Alan3354, MathLover1:
Answer by Alan3354(69443) About Me  (Show Source):
You can put this solution on YOUR website!
I did this yesterday.

Answer by MathLover1(20850) About Me  (Show Source):
You can put this solution on YOUR website!

The three angles in triangle always add to 180
If A=alpha=+40 degrees B+=+60 degrees, angle of C=180-%2840%2B60%29=180-100=80degrees; so,you have a Scalene Triangle: no equal sides,
no equal angles
use Law of Sines:
sin+%28alpha+%29%2Fa=sin+%28beta%29+%2Fb=+sin+%28gamma+%29%2Fc


if b+=+30, alpha=+40, beta+=+60, then

sin+%2840+%29%2Fa=sin+%2860%29+%2F30...cross multiply

30%2Asin+%2840+%29=a%2Asin+%2860%29

30%2A0.64278761=a%2A0.8660254

19.2836283=a%2A0.8660254

19.2836283%2F0.8660254=a

a=22.27


sin+%2860%29+%2F30=+sin+%2880+%29%2Fc
c%2Asin+%2860%29=+30%2Asin+%2880+%29
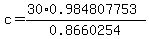
c=+%2830%2Asin+%2880+%29%29%2Fsin+%2860%29
c=+%2830%2A0.984807753%29%2F0.8660254
c=+34.12