SOLUTION: Find the exact values of sin(θ/2), cos(θ/2), and tan(θ/2) for the given condition.
csc θ = − 5/4; −90° < θ < 0°
sin(θ/2) =
cos(	
Algebra ->
Trigonometry-basics
-> SOLUTION: Find the exact values of sin(θ/2), cos(θ/2), and tan(θ/2) for the given condition.
csc θ = − 5/4; −90° < θ < 0°
sin(θ/2) =
cos(	
Log On
Question 926992: Find the exact values of sin(θ/2), cos(θ/2), and tan(θ/2) for the given condition.
csc θ = − 5/4; −90° < θ < 0°
sin(θ/2) =
cos(θ/2) =
tan(θ/2) = Answer by lwsshak3(11628) (Show Source):
You can put this solution on YOUR website! Find the exact values of sin(θ/2), cos(θ/2), and tan(θ/2) for the given condition.
csc θ = − 5/4; −90° < θ < 0°
sin(θ/2) =
cos(θ/2) =
tan(θ/2) =
***
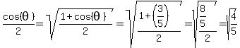
reference angle θ is in quadrant IV where cos>0, sin<0
csc θ=-5/4
sin θ=-4/5
cos θ=3/5
..
..
..