SOLUTION: Use properties of logarithms to condense the logarithmic expression. Write the expression as a single logarithm whose coefficient is 1. (1/3) [3ln(x+3)-lnx-ln (x^2-3)] Can

Algebra ->  Trigonometry-basics -> SOLUTION: Use properties of logarithms to condense the logarithmic expression. Write the expression as a single logarithm whose coefficient is 1. (1/3) [3ln(x+3)-lnx-ln (x^2-3)] Can       Log On


   



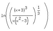
Question 926281: Use properties of logarithms to condense the logarithmic expression. Write the expression as a single logarithm whose coefficient is 1.
(1/3) [3ln(x+3)-lnx-ln (x^2-3)]
Can someone please help? I just need one good example to work from
thank you

Answer by lwsshak3(11628) About Me  (Show Source):
You can put this solution on YOUR website!
Use properties of logarithms to condense the logarithmic expression. Write the expression as a single logarithm whose coefficient is 1.
(1/3) [3ln(x+3)-lnx-ln (x^2-3)]
***
%281%2F3%29%283ln%28x%2B3%29-%28lnx%2Bln%28x%5E2-3%29%29%29
ln%28%28%28%28x%2B3%29%5E3%29%2F%28x%28x%5E2-3%29%29%29%5E%281%2F3%29%29