SOLUTION: use the trigonometric substation to write the algebraic expression as a trigonometric function of the theta, where 0<theta<pi/2 square root of (16-4x^2), x=2sintheta

Algebra ->  Trigonometry-basics -> SOLUTION: use the trigonometric substation to write the algebraic expression as a trigonometric function of the theta, where 0<theta<pi/2 square root of (16-4x^2), x=2sintheta       Log On


   



Question 922267: use the trigonometric substation to write the algebraic expression as a trigonometric function of the theta, where 0 square root of (16-4x^2), x=2sintheta

Answer by KMST(5328) About Me  (Show Source):
You can put this solution on YOUR website!
f%28x%29=sqrt%2816-4x%5E2%29 and x=2sin%28theta%29
f%28x%29=sqrt%2816-4%2A%282sin%28theta%29%29%5E2%29
f%28x%29=sqrt%2816-4%2A2%5E2%2A%28sin%28theta%29%29%5E2%29
f%28x%29=sqrt%2816-4%2A4%2A%28sin%28theta%29%29%5E2%29
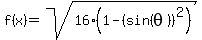
f%28x%29=sqrt%2816-16%2A%28sin%28theta%29%29%5E2%29
f%28x%29=sqrt%2816%2A%281-%28sin%28theta%29%29%5E2%29%29
f%28x%29=sqrt%2816%2A%28cos%28theta%29%29%5E2%29
f%28x%29=sqrt%2816%29%2Asqrt%28cos%28theta%29%29%5E2%29
f%28x%29=4%2Aabs%28cos%28theta%29%29%29
and since cos%28theta%29%3E0 for 0%3Ctheta%3Cpi%2F2 ,
f%28x%29=highlight%284cos%28theta%29%29