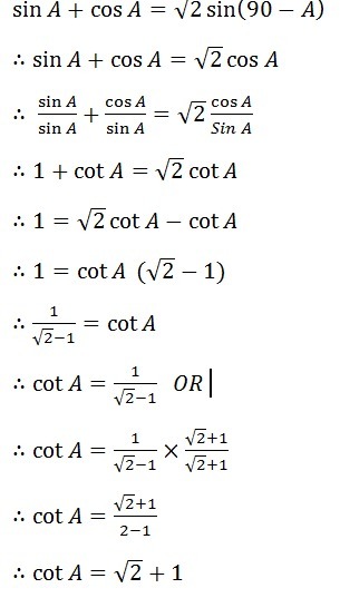
SOLUTION: sin A+cosA = √2 sin (90-A)
Algebra
->
Trigonometry-basics
-> SOLUTION: sin A+cosA = √2 sin (90-A)
Log On
Algebra: Trigonometry
Section
Solvers
Solvers
Lessons
Lessons
Answers archive
Answers
Click here to see ALL problems on Trigonometry-basics
Question 917685
:
sin A+cosA = √2 sin (90-A)
Answer by
nihar*2013(34)
(
Show Source
):
You can
put this solution on YOUR website!
.